What are the risks of exposing your body to a vaccine?
It is important to note that, while it may be counter intuitive to think that it is not dangerous to expose yourself to parts of a pathogen, statistics will show that risks are nearly nonexistent for the all vaccines because the pathogens are not functional.
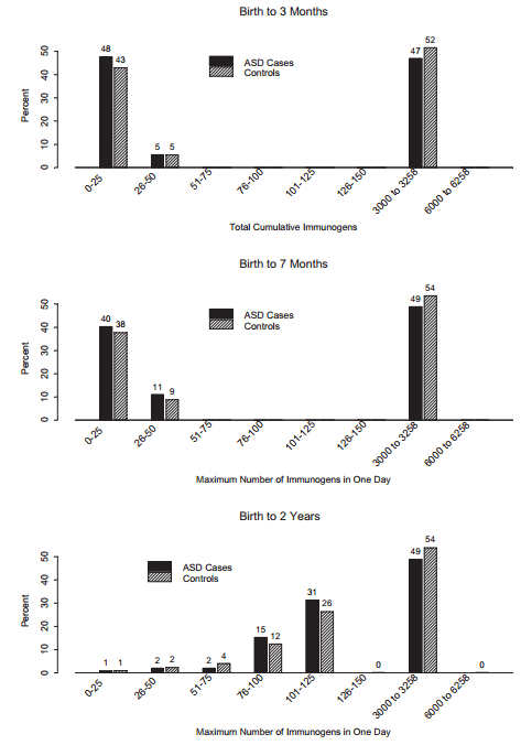
Statistics
“There is no link between vaccines and autism” (CDC)





(Statistics from THE JOURNAL OF PEDIATRICS)
The only identifiable risk of vaccines is a minor and rare allergic reaction the the ingredients of vaccines.
Here are some common ingredients from the CDC